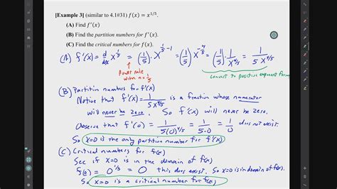
David Reed Blog